Find Positive and Negative Sums on a Numberline Worksheet Download
Select a Different Activity
>
Sheet Information >
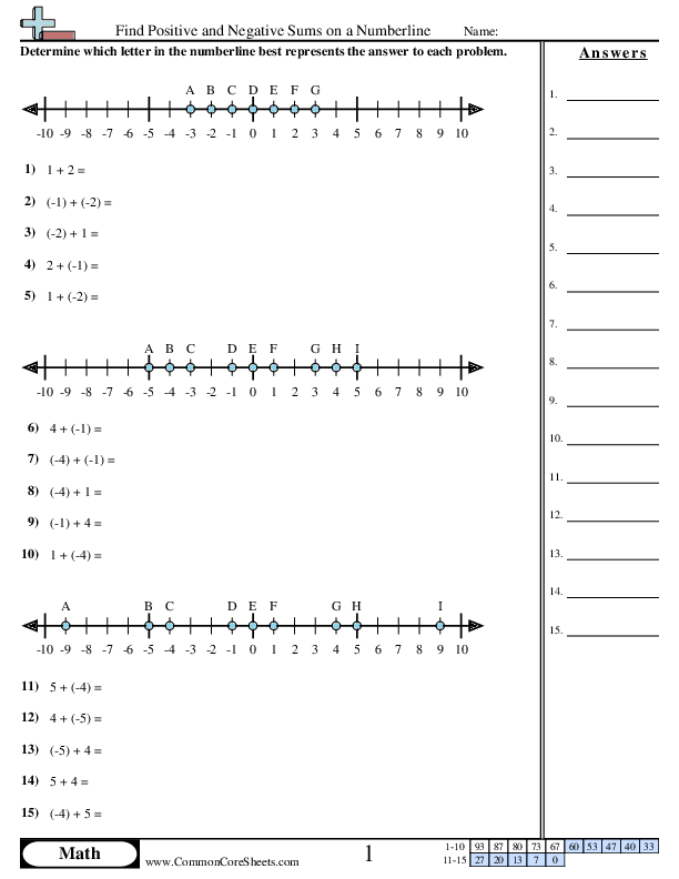
Find Positive and Negative Sums on a Numberline
Each worksheet has 15 problems adding and subtracting positive and negative numbers using a numberline.
