Free negative number worksheets with answer key. No login or account needed. From identifying number's absolute value, to adding and subtracting negative numbers, we've got you covered. A grading column and quick grade scale maker grading a breeze and a modified pages help with lower level learners or when just introducing a topic. Great for teachers or for homeschool.
Browse Sheets By Problem Type
×
7ns1a

×
Description:
"This worksheet is designed to enhance children's mathematical skills, concentrating on adding and subtracting negative numbers. The arithmetic problems challenge the child's understanding of handling negative values. It includes ten versatile math problems that can be customized according to one's teaching needs, conveniently converted into flash cards for dynamic learning, or incorporated in distance learning modules."

×
Student Goals:
7ns1a

×
Description:
"This worksheet is designed to enhance children's skills in adding and subtracting negative numbers. It features 20 problems aiming to boost arithmetic proficiency with real-life examples. Its adaptability allows for customization, making it a useful tool for distance learning. It can further be converted into flash cards, reinforcing the interactive learning experience and reinforcing the grasp of the complex concept of negative number calculations."

×
Student Goals:
Understand Concept of Negative NumbersAfter completion of this worksheet, students must have a firm grasp of the concept of negative numbers. They will understand that a negative number is less than zero and lies to the left on the number line. The idea of how mathematical operations like addition and subtraction function when negative numbers come into play should be clear to them.Perform Addition and Subtraction with Negative NumbersPost completion of these exercises, learners should have an ability to swiftly perform addition and subtraction involving negative numbers. They will learn how to add and subtract negative numbers in different scenarios, and with repeated practice through these exercises, can sharpen their calculations, thereby boosting their confidence in tackling similar problems.Comprehend Absolute ValuesBy the end of this worksheet, students should be able to comprehend the absolute values of numbers. They will realize that absolute values refer to the distance of the number from zero irrespective of the direction, and that the absolute value of a number is always positive or zero. This will be a stepping stone to a deeper understanding of the number system.Enhance Problem Solving SkillsThese exercises will also contribute significantly to refining the problem-solving skills of the students. The ability to recognize the negation of a number and dealing with the constraints of the number line can greatly expand their mathematical analytical skills. These skills are vital not only in Arithmetic, but also in a broader spectrum of subjects involving calculations.Boost Mental Math SkillsThe worksheet has the potential to strengthen students' mental math skills. Completing these problems will enhance their fluency with numbers and improve their capability of mental calculations, which will be extremely useful in their academic journey and real life situations. From calculating change to measuring distances in the real world, these skills will come in handy.Develop Mathematical CommunicationThe application of this worksheet will promote mathematical communication. The expression of mathematical thoughts and ideas is a fundamental part of learning. Through this exercise of adding and subtracting negative numbers, students will have a vocabulary for better communication of these ideas. They can share problem-solving strategies, reason out calculations, and articulate their understanding.
7ns1a

×
Description:
"This worksheet is designed to challenge and improve a child's skills in addition and subtraction with a focus on achieving a result of zero. The 20 diverse math problems can be customized to fit individual learning needs, converted into flashcards for interactive practice, or utilized for distance learning, making this worksheet adaptable to various teaching methods."

×
Student Goals:
Improved Mathematical SkillsUpon completion of the worksheet, students should have improved their basic mathematical skills. They'll be better equipped to perform addition and subtraction operations, particularly involving zero. With consistent practice, they should be able to solve these type of problems more quickly and accurately, boosting their overall math proficiency.Stronger Understanding of Additive InverseThe worksheet presents scenarios where the sum or difference of two numbers results to zero. After working through these problems, students should have a stronger grasp of the concept of additive inverse - the idea that a number and its negative counterpart add up to zero. This understanding is crucial in both basic and advanced mathematical calculations.Enhanced Logical ThinkingMathematics is not just about computation, it's also about logical thinking. Solving these worksheets will help students to develop logical reasoning skills. For each problem, students must discern what number, when added or subtracted, will result to zero. This will require careful thought and rational problem-solving, thereby strengthening students' logical thinking.Broader Mathematical VocabularyThis worksheet introduces symbols and nomenclature like B+(-71)= 0, -30-C= 0, etc. By coming across and understanding these representations, students should expand their mathematical vocabulary. This understanding of mathematical language and representation is vital in progressing through more complex mathematics lessons in the future.Comfort with Negative NumbersNegative numbers can often be tricky for young learners. This exercise, by incorporating negative numbers in various addition and subtraction problems to zero, will increase students' comfort and confidence in working with negatives. This familiarity is essential in understanding the number line, working with equations, and solving real-world problems.Development of Independent LearningWork through the problems in the worksheet facilitates independent learning. Students will gain confidence as they are able to complete the worksheet on their own, equipping them with a sense of responsibility and the understanding of self-paced learning. This is beneficial for their general academic growth and instills a proactive approach to acquiring knowledge.
7ns1d

×
Description:
"This worksheet is designed to enhance children's math skills, specifically in adding and subtracting rational numbers. Containing 20 varied problems, the concepts practiced will strengthen number manipulation capabilities. This highly adaptable resource can be customized to fit the learner's needs, transformed into flash cards for tactile learning, or utilized in a distance learning environment for continued academic growth."

×
Student Goals:
Understanding Rational NumbersAfter completing this worksheet, students should have a deeper understanding of rational numbers. They will be able to confidently identify rational numbers and understand their properties. This knowledge serves as a fundamental building block for more advanced mathematical studies. It helps students to comprehend the logic behind the operations of rational numbers which are crucial in the study of mathematics and its applications in daily life.Proficiency in Addition and SubtractionThe worksheet is designed to enhance students' proficiency in adding and subtracting rational numbers. Through practicing these problems repeatedly, they should achieve fluency in executing these basic mathematical operations. This proficiency is essential as these operations form the base of many mathematical concepts that are learnt in school.Critical Thinking and Problem SolvingBy tackling challenging problems in the worksheet, students can develop critical thinking skills and strengthen their problem-solving abilities. They will learn to approach problems analytically, strategize solutions, and solve them with precision. Such skills are highly transferable and are key to success in many various areas beyond math.Improvement in Numerical Accuracy and SpeedUpon completion of the worksheet, students are expected to show improvement in their numerical accuracy and speed. By systematically solving these problems, they can reduce errors in calculations, increase their speed, and become more efficient in managing time during tests or exams.Building Confidence and Self-efficacyFinally, a significant accomplishment that the students should be able to achieve after completing the worksheet is a boost in self-confidence and self-efficacy. As they overcome the challenges posed by the problems in the worksheet, they strengthen their belief in their ability to solve similar problems. This sense of attainment is crucial for their overall confidence in tackling mathematical problems, encouraging them to strive for higher goals.
7ns1b

×
Description:
"This worksheet is designed to enhance children's math skills, focusing on the concept of number lines and calculating distance. It includes 12 numerical problems that ask learners to start at a specific point and add or subtract a number. Perfect for distance learning, the customizable worksheet can be converted into flashcards for more interactive and engaging learning."

×
Student Goals:
Understanding Number LinesUpon completion of this worksheet, students should have a robust understanding of number lines and how to use them to show distance. They should be able to plot positive and negative numbers on a number line accurately. Grasping the concept of number lines is fundamental in mathematical knowledge, as it forms the groundwork for understanding more complex topics in calculus and other higher-level mathematics courses.Understanding Negative NumbersThe students will gain a good understanding of negative numbers. Negative numbers are part of everyday life, and understanding how to add and subtract them is paramount. Students should be able to differentiate and understand that negative numbers are less than zero and are represented on the left side of the number line. By repeatedly working with number-line problems involving negative numbers, students can confidently master this concept.Enhanced Problem Solving SkillsCompleting this worksheet will enhance the problem-solving skills of the students. Mathematical problem-solving forms part of critical thinking. The ability to start at a number and add or subtract another number hones their skills in logical thinking, decision making, and strategic planning making them more effective problem solvers.Improved Mental Arithmetic SkillsStudents will improve their mental arithmetic skills through the completion of this worksheet. The ability to quickly and correctly add and subtract numbers mentally is a skill that improves with practice and will be useful in many aspects of life beyond math class. By chaining together multiple problem sets, students will improve their ability to perform mental sums more accurately.Fluency with Addition and Subtraction on a Number LineStudents will become fluent in utilizing a number line for addition and subtraction. The ability to accurately and quickly perform these operations is a fundamental arithmetic skill, and this worksheet provides the necessary repetitive practice to help students become fluent in these skills. The exercises in this worksheet, if completed successfully, should help students to internalize the process and gain speed when performing these operations in the future.
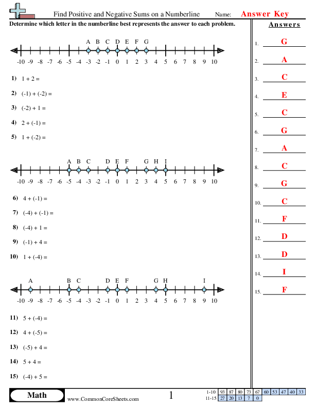
7ns1b

×
Description:
"This worksheet is designed to enhance children's understanding of adding positive and negative numbers. It consists of 15 various math problems that prompt children to find the sum on a number line. The concept of positive and negative sums is simplistically encapsulated to ensure effective distance learning. Moreover, the flexibility of format allows for customization and conversion into flash cards for a versatile learning experience."

×
Student Goals:
Understanding Positive and Negative NumbersUpon completing this worksheet, students will be able to clearly distinguish between positive and negative numbers and understand their application in different contexts. This understanding is foundational in mathematics for working with equations, functions, and real-life scenarios, thus building numerical proficiency.Basic Arithmetic CompetenceThe worksheet fosters the development of basic arithmetic competence as it focuses on using addition operations with both positive and negative numbers. Students will learn to compute mathematical problems quickly and accurately, an essential skill in progressing to more complex arithmetic tasks.Conceptual Understanding of AdditionBy exploring the addition of positive and negative numbers, students will reinforce their understanding of addition as a mathematical operation. Specifically, they will be able to understand how adding a positive number 'moves' to the right along the number line, while adding a negative number 'moves' to the left.Improve Problem Solving SkillsThe worksheet exercises aim to improve students' problem-solving skills. In the process of figuring out the sums, students will be engaged in logical thinking and reasoning, essential skills not only in math but in other subjects and everyday life situations.Understanding Number LinesStudents will reinforce their understanding of the number line, a fundamental tool in mathematics. They will learn about its representation and significance through the process of solving the worksheet problems, mastering its use for the addition of both positive and negative numbers.Boost Confidence and Interest in MathCompleting this worksheet and grappling with the problems presented can boost students' confidence in their mathematical abilities. Due to the relative complexity of working with positive and negative sums, successfully solving these problems can stimulate further interest and curiosity in the subject matter.