Free algebra worksheets with answer key. No login or account needed. Below are a variety of topics from simplifying expressions or identifying coefficients to solving inequalities, graphing lines, and finding combinations. A grading column and quick grade scale maker grading a breeze and a modified pages help with lower level learners or when just introducing a topic. Great for teachers or for homeschool.
Browse Sheets By Problem Type
×
8ee2

×
Description:
"This worksheet is designed to enhance children's understanding of mathematical concepts, specifically powers and bases. It consists of 10 problems that challenge students to identify the right mathematical equations corresponding to given values of x. Customizable and adaptable to various learning contexts, the worksheet can be converted into flash cards or utilized for distance learning, making it an ideal tool for remote education."

×
Student Goals:
Understanding of Base and Power ConceptsUpon completion, students should have grounded understanding of base and power concepts in mathematics. They will be adept in distinguishing between the terms ‘base’ and ‘power’, and will comprehend how values change depending according to powers. This worksheet aids students in recognizing the relationship between a number and its exponent, key to advance mathematical prowess.Problem Solving AbilitiesThe worksheet enhances students' problem-solving abilities. Students can identify the proper equation that leads to a specific outcome. They gain the capability to work out multi-option mathematical problems, enhancing their analytical and logical thinking skills. Students become proficient in exploring different possibilities to achieve the correct results in problematic equations.Confidence in Equation AnalysisThe worksheet also fosters students' confidence in equation analysis. They will become comfortable dealing with power and base equations, with a focus on isolating and solving variables in these equations. Students will have increased familiarity and confidence with the chosen subject matter, thereby enabling them to approach more complex mathematical problems with ease.Learning PrecisionStudents are expected to have heightened precision after completing this worksheet. The multi-option format requires students to be exact in their answers, eliminating room for approximation. Thus, students would become extremely detail-oriented and precise, enhancing their overall mathematical acumen.Enhanced Test-Taking SkillsBy answering multiple-choice questions, they also refine their test-taking skills. Students will learn to choose the most effective approach to solve a problem, developing strategies such as the process of elimination. Such skills prove to be beneficial during exams and help increase efficiency in their academic advancement.
8ee6

×
Description:
"This worksheet is designed to guide children through the concept of examining slope attributes in mathematics. With a total of 10 problems, it challenges students to determine and compare the slopes of different lines. This flexible learning tool can be customized to each student's needs, and content can be converted into flashcards for further study. Ideal for distance learning, the worksheet advances understanding of key math concepts related to slopes in geometry."

×
Student Goals:
Understanding of Slope ConceptAfter successfully completing this worksheet, students should have an enhanced understanding of the slope concept. They will grasp the mathematical notion of slope in relation to lines in a two-dimensional space. This foundational comprehension will enable pupils to navigate more complex geometry and algebraic problems with ease.Problem Solving SkillsThis worksheet elevates learners' ability to solve mathematical problems related to slope. They will adeptly determine whether two lines have the same slope and interpret meaning from given equation parameters, thereby strengthening their problem-solving and critical thinking skills.Skill in Equation ManipulationCompleting the worksheet will improve students' ability to manipulate mathematical equations, particularly those involving the slope of lines. Practice with slope equations will encourage accuracy and precision in students' mathematical language and equation solving.Increased Comfort in GeometryThis worksheet serves to increase students' comfort in the subject of geometry, specifically regarding lines and angels. They will develop proficiency in handling geometrical problems involving slopes, a central concept in geometry which serves as a stepping stone for grasping higher-level geometrical concepts.Mathematical ConfidenceFinally, by completing this worksheet, students will boost their mathematical confidence. Handling these 10 problems and building their intuition around slope, they thereby enhance their self-confidence in confronting new mathematical problems. This positive attitude is critical for the ongoing study of mathematics and sets them up for future success.
8ee7b

×
Description:
"This worksheet is designed to help children master the skill of solving linear equations with variables on both sides. It offers 7 challenging questions that facilitate mathematical fluency and critical thinking. Special features include the ability to convert problems into flashcards for study at one's own pace. It's also ideal for virtual learning environments, given its easy customization options. A perfect tool to practice and reinforce kids' algebra skills in a fun and engaging way."

×
Student Goals:
Understand the Concept of Linear EquationsThis worksheet provides practice for students to understand the concept of linear equations with variables on both sides. By completing the worksheet, the students can grasp how to balance equations with unknowns appearing in both the sides of the equation. Enhancing their understanding of the order of operations and distribution principle, this practice set guides them to carefully manage the algebraic terms.Solving Linear Equations PracticallyCompleting the tasks on this worksheet enable the students to advance their proficiency in practically solving linear equations. The students should be able to correctly identify the variables, constants, and coefficients in the equation to solve for the unknowns. The possibility of finding solutions of these equations that makes both side of the expressions equal would eventually be handy for the students.Enhanced Critical ThinkingEach equation on this worksheet is like a puzzle to be solved, which means students will enhance their problem-solving skills with every problem they decipher. They will learn how to break down complex problems into simpler parts, strategize the order of operations, and perform necessary algebraic manipulations to find the unknown. This promotes critical thinking, a much-needed skill that reaches far beyond the mathematics classroom.Exhibit Skills in Identifying ErrorsAfter completing the worksheet, students should be able to identify any inaccuracies in the process of solving such equations. They will become effective in spotting mistakes in the application of algebraic rules, operations, and steps. This expertise in error-checking boosts their confidence and stimulates self-reliance in their maths competence.Transferable Knowledge and SkillsLearning how to solve linear equations prepares students for exploring further complex algebraic equations and concepts. The skills gained from this worksheet serve as a solid foundation for topics requiring a thorough understanding of linear equations such as arithmetic sequences, coordinate geometry, and linear programming. Moreover, it provides students with transferable skills like logic, reasoning, analytical thinking that can serve them beyond the realms of mathematics.
8ee6

×
Description:
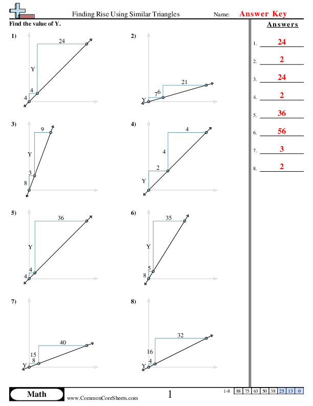
"This worksheet is designed to teach math students the method of finding rise using similar triangles. It involves clear, visual diagrams that encourage problem-solving and application of key mathematical concepts. With 8 interactive problems to solve, varying in complexity, students are provided with a platform to practice and understand the theory. Ideal for distance learning, these tasks can be easily converted into flash cards for revision purposes. Additionally, the worksheet is customizable, catering to specific learning styles and paces."

×
Student Goals:
Understanding of Similar TrianglesAfter completing this worksheet, students should be able to understand the concept of similar triangles effectively. They will be able to grasp how ratios and proportions can be applied in the realm of geometry, especially where triangles of identical angles but differing sizes are concerned. The students will recognize that the sides of similar triangles are proportional, thus enabling them to deduce missing measure when they are presented with partial information.Application of the Concept of RiseStudents will be able to apply the concept of 'rise' in mathematical problems. Rise is a critical concept in understanding geometric patterns and shapes, specifically triangles. As a result, students should be able to find the rise of various triangles using the principle of similarity. This crucial skill is applicable in various advanced mathematical problems and real-life scenarios, thereby enhancing problem-solving skills.Development of Problem-solving SkillsBy solving these problems, students will enhance their critical thinking and problem-solving skills. They will be forced to think beyond the box, analyze the given figures, and adapt strategies to fill in the missing information effectively. Over time, this process will instill in students the ability to apply mathematical principles in a broader context, enhancing their analytical skills.Understanding of Mathematical NotationThe worksheet will also help in understanding and interpreting mathematical notation accurately. It will boost the students' ability to read, comprehend, and execute based on the given notations, an important skill in mathematics.Boosting Mathematical ConfidenceBy successfully solving these problems, the students will gain confidence in their math abilities. Each problem solved will reinforce the comprehension of the concepts and instill confidence in their problem-solving capacity. This is of paramount importance for progressing in mathematics, a subject area that many students find daunting and challenging.
8ee6

×
Description:
"This worksheet is designed to help children understand and apply the concept of finding missing coordinates using similar triangles. It features eight engaging problems with visual representation via SVG graphics to guide kids in the problem-solving process. The interface is easily adaptable to flashcards and supports distance learning. Its customizable nature allows it to cater to each child's learning pace and style."

×
Student Goals:
8ee8a

×
Description:
"This worksheet is designed to teach children the fundamental math concept of finding the point of intersection in equations. It comprises ten problems, increasing in difficulty, which aid in understanding how different equations intersect at a particular point. The format of the worksheet is simple yet engaging, making it suitable for conversion into customizable flashcards or even for incorporation into distance learning curricula."

×
Student Goals:
Understanding the Concept of Intersection PointsAfter completing this worksheet, students will have an in-depth understanding of intersection points in a pair of linear equations. They will learn how to identify common points at which two lines intersect in a Cartesian coordinate system. This foundational knowledge is crucial in further graphing and plotting studies.Identification and Computation of Equations SkillsThe worksheet is designed to improve students' skills in identifying and computing mathematical equations. They will gain the ability to manipulate equations to correctly locate points of intersection. This will enhance their proficiency in algebraic computation and manipulation by handling numerical coefficients and variables.Problem Solving AbilitiesThis worksheet serves to sharpen students' problem-solving abilities. As it challenges them with multiple linear equations, it requires them to apply keen logical and analytical thinking in determining intersection points. This nurtures their solving abilities, which is critical not only in math but also in daily life problem-solving situations.Critical Thinking and Reasoning DevelopmentBy solving these problems, participants will bolster their critical thinking skills and mathematical reasoning. The task of pinpointing the intersection demands careful consideration and planning, promoting the development of logical thought processes and careful evaluation of calculated solutions.Self-evaluationCompleting this worksheet equips students with the capacity for self-evaluation. As they monitor and assess their progress, they will gain insight into their strengths and areas for improvement. This reflection is important in honing their learning strategies and maintaining a proactive attitude in personal improvement.Preparation for Advanced StudyThis worksheet provides a crucial foundation for more advanced mathematical studies. Understanding the intersection of equations prepares students for future topics, including calculus, geometry, and more complex algebraic topics, and is also applicable in various fields of physics and data analysis in higher learning disciplines. Moreover, the thinking approach nurtured through this activity is beneficial in various disciplines such as engineering, software development, and scientific research.
8g7

×
Description:
"This worksheet is designed to aid children in mastering the Pythagorean Theorem, an important concept in math. It offers 12 problems illustrated with diagrams and step-by-step solutions, thereby enhancing comprehension. Subjects can customize the worksheet according to their skill level or convert it into flashcards, promoting active recall. Moreover, its adaptability makes it an excellent resource for seamless integration into distance learning programs."

×
Student Goals:
8ns2

×
Description:
"This worksheet is designed to facilitate math learning by examining square roots. Featuring 20 problems, it offers children an engaging way to master this useful skill. Examples include root problems of 14, 84, and 63, graphically presented. The content can be customized to suit individual learning paces, converted into flash cards for quick, repetitive practice, or utilized efficiently for distance learning. This tools aims to make math, specifically the study of square roots, interactive and enjoyable."

×
Student Goals:
8ns1

×
Description:
"This worksheet is designed to engage children in math by examining the intriguing subject of identifying rational and irrational numbers. Featuring 20 progressively challenging problems, kids can decipher patterns in sequences like squared decimals or fraction bars. Perfect for remote learning, the content can be customized and converted to flashcards for enhanced learning experiences. This worksheet caters to diverse learning styles, reinforcing the abstract concepts of number types in mathematics."

×
Student Goals:
Develop Number Classification SkillsUpon completion of the worksheet, students should possess a firm understanding of the key differences between rational and irrational numbers. They should be able to quickly identify and classify these numbers, therefore building a solid foundation for more complex math concepts down the line. This skill is not only essential in terms of advancing in math education but also enhances logical thinking and categorization skills, important tools for various dimensions of day-to-day life.Enhance Problem-solving AbilitiesCompleting this worksheet should enhance students' problem-solving abilities as they exercise their minds to differentiate between rational and irrational numbers. They would be refining their analytical thinking skills while identifying patterns and making calculated guesses. These skills are pivotal in all aspects of life, from making strategic decisions to thinking critically about different challenges.Boost Confidence in Mathematical ConceptsThis worksheet is designed to boost students' confidence when dealing with numbers in general and more specifically rational and irrational numbers. The more they practice identifying these numbers, the more comfortable they'll become at handling them. This increase in mathematical confidence can lead to better performance in classroom activities, tests, and further educational pursuits.Improve Precision and AccuracyThrough working on this worksheet, students should be able to enhance their precision and accuracy when dealing with numbers. This skill extends beyond mathematics, being applicable in science, technology, and even daily life situations where precision is needed. It encourages them to pay attention to every detail and meticulously examine each problem before judging it.Strengthen Mathematical VocabularyFinally, successfully identifying rational and irrational numbers will inherently improve the students' mathematical vocabulary. They will be more versed with mathematical jargon, which is key in understanding and communicating mathematical concepts effectively. Better mathematical communication leads to better comprehension and higher learning efficacy in the subject overall.
8ns2

×
Description:
"This worksheet is designed to enhance children's understanding of square root values in math. It comprises 20 problems, which challenge kids to deduce if the square root of a certain number will be closer to one value or another. Customizable to cater to individual learning curves, it can also be converted into flash cards, making it a diversely beneficial tool for distance learning. With the help of distinct visuals, it simplifies complex concepts, reinforcing learning in a fun, interactive way."

×
Student Goals:
8ns2

×
Description:
This worksheet is designed to help children grasp the concept of finding radicals on a numberline. With 10 engaging math problems intricately plotted onto visual graphics, students are encouraged to explore mathematical dimensions independently. This customizable resource can be easily converted into flash cards for varied learning experiences or utilized in a distance learning setup, offering flexible educational support for diverse learning needs.

×
Student Goals:
Understanding RadicalsUpon completion of the worksheet, students should have acquired a solid understanding of radicals and how they are represented on a number line. This foundational concept is crucial in the study of algebra and number theory, among other branches of mathematics. The learners will have learnt how to locate the position of a radical on a number line, a skill that broadens their mathematical perspectives and enables them to comprehend complex calculations involving these unique values.Develop Critical Thinking SkillsThe worksheet is designed not just to impart knowledge but also to foster critical thinking and mathematical reasoning. As the students tackle each problem, they are prompted to apply logical deduction, pattern recognition and strategic problem solving, all of which play a critical role in the development of their cognitive abilities. Solving these exercises helps in improving their problem solving skills and powers of logical reasoning.Boost Confidence in MathematicsSuccessfully finding radicals on a number line gives learners confidence in dealing with numbers. It serves as a stepping stone for more advanced mathematical concepts in their academic journey. As they solve each problem, they boost their confidence and fluency in mathematics, positively affecting their performance in other mathematical topics.Mathematical Communication SkillsThe worksheet also aims to improve students' ability to communicate mathematical ideas effectively. As students engage with these worksheets, they articulate their logic and explanations in finding solutions, sharpening their verbal and written communication in mathematical language. This effective communication is a valuable skill that helps in discussion or explanation of mathematical concepts to peers or even in future studies.Improve Concentration and FocusFinding radicals on a number line requires intense concentration and precision. Therefore, the worksheet offers an excellent opportunity for learners to improve their focus and attention to detail. As they endeavour to pinpoint the exact location of each number, their overall mental precision and sharpness are likely to improve, benefits that will extend beyond their math classes.
8ee1

×
Description:
"This worksheet is designed to bolster kids' understanding of the Laws of Exponents in math, featuring 20 customisable problems that require rewriting to solve. The problems revolve around multiplication, exponentiation and distribution laws, demonstrated in various complex scenarios. This tool can easily be converted into flashcards or integrated into a distance learning program for enhanced math learning experiences."

×
Student Goals:
8ee1

×
Description:
"This worksheet is designed to help children understand and master solving mathematical problems using the laws of exponents. Covering key concepts like power rules and fraction exponents, it offers ten problems of incremental complexity. Practical examples and customizable content make it suitable for various learning preferences. It's an adaptable resource that can be easily converted into flash cards or integrated into distance learning curriculum for effective teaching."

×
Student Goals:
Understanding Exponent LawsAfter completing the worksheet, students should have a comprehensive understanding of the laws of exponents. This understanding not only includes the ability to accurately calculate the powers of integers, but also the capacity to apply the laws of exponents in a variety of mathematical contexts. Students will have strengthened their skills in transformative mathematical operations such as multiplication and division using exponents.Problem Solving and Analytical SkillsStudents will enhance their problem-solving abilities as they navigate through various exponent problems. They should become adept at analysing complex problems and executing steps required for solving problems that involve exponents. This includes both positive and negative exponents as well as zero exponents. Their analytical thinking capabilities will be sharpened, improving their mathematic proficiency in a wider sense.Conceptual Comprehension and ApplicationStudents should also develop deepened conceptual understanding. Grasping the fundamental concepts behind exponents will provide students with the ability to properly comprehend and apply these concepts to more complex mathematical equations. This understanding will lay the groundwork for future learning and application in more complex mathematical contexts.Mathematical VocabularyAfter completing the worksheet, students will be able to accurately and confidently use mathematical terminology related to exponents. The principles learned can help students better articulate mathematical processes and effectively use mathematical language. Comprehending this mathematical vocabulary will ease communication in mathematical contexts and aid in the comprehension of more advanced mathematical literature.Enhanced Numeracy SkillsCompletion of the worksheet will assist in the improvement of students' overall numeracy skills. It will build their competence in basic number manipulation and develop their understanding of mathematical structures. These skills are fundamental for mathematical growth and vital in day-to-day life and various professional fields.
8ee2

×
Description:
"This worksheet is designed to strengthen children's understanding of cubed and squared number manipulation through 21 interactive math problems. Offering a unique approach to mathematical resolution, students learn to derive solutions using examples such as x³ = 512, transitioning abstract concepts into a tangible format. This worksheet can be customized, converted into intriguing flashcards, or integrated seamlessly into a distance learning program, enriching the learning experience wherever your student may be."

×
Student Goals:
Understanding of Mathematical ConceptsStudents will gain a foundational understanding of squares and cubes, including the ability to solve mathematical problems using these concepts. This understanding builds upon the fundamentals of multiplication, and allows students to further appreciate the complexity of mathematics.Problem-Solving SkillsThis worksheet enhances students' problem-solving skills by challenging them to solve both square and cube problems. These types of equations often require more thought, and as a result, students learn how to think critically and analytically. Examining problems from different angles and exploring the potential solutions can be a challenging but rewarding experience for students.Progression in Mathematical KnowledgeAfter completing the worksheet, students will have progressed in their mathematical knowledge. They will be equipped with the skills necessary to solve more complex equations involving squares and cubes. This progression allows students to continue developing their mathematical abilities, setting the stage for future learning in this subject.Building Confidence in Math AbilitiesThe successful completion of the worksheet will build confidence in each student's math abilities. By practicing and solving these type of problems, students will increase their competence and confidence in handling similar challenges. With increased confidence comes reduced anxiety towards math, which often leads to better performance in the subject.Preparation for Higher Level MathThis worksheet works as a stepping stone towards higher level mathematics. The ability to handle squares and cubes equations forms a part of many mathematical areas, including algebra. Consequently, successful completion of this worksheet prepares students for encountering more advanced mathematical problems in future.Mastery of Converting Mathematical ExpressionsStudents will acquire the mastery of converting mathematical expressions involving squares and cubes. Understanding the symbolic representation of these concepts and converting them into numerical values is an essential skill for students. Achievement of this skill provides a solid foundation for further exploration of mathematical concepts.
8ns2

×
Description:
"This worksheet is designed to help children understand and solve negative exponent problems in math. Covering substantial concepts like cube roots and their reciprocal counterparts, it provides 20 structured problems and solutions that foster analytical thinking. Adaptable to diverse learning needs, it can be transformed into flash cards to encourage interactive study. Equally valuable for distance learning, it's a customizable tool for enhancing mathematical knowledge and power solving skills."

×
Student Goals:
Enhanced understanding of negative powersAfter completing the worksheet, students should have a strengthened comprehension of negative powers and their real-world applications. They should be able to swiftly identify the relationship between positive and negative powers, reducing complex equations in a simplified manner.Ability to solve advanced mathematical problemsThe worksheet empowers students to tackle complex mathematical problems involving negative powers. They should be able to carry out calculations faster, with increased confidence in arithmetic and problem-solving skills. This preparedness extends beyond just solving textbook problems, to facing larger mathematical challenges in advanced studies and competitive exams.Knowledge application skillsWith a thorough practice of the problems in the worksheet, students should be adept in applying the learned concepts to various scenarios. They should be proficient not only in recognizing when to use negative exponents but also proficient in implementing the rules of negative powers in distinct mathematical contexts to derive solutions.Improved number senseExecuting the problems in the worksheet will enhance the students' number sense, pushing them to comprehend the effects of negative powers on base numbers. This in-depth number sense can be extremely crucial in developing mathematical intuition necessary for advanced mathematical studies.Mathematical reasoning skillsThe worksheet encourages the students to think critically, promote logical reasoning and to derive different ways to approach a solution. It fosters an environment to build their mathematical reasoning and cognitive skills, which can be considered essential pillars for STEM education and career.Precision in handling large numbersStudents should gain mastery over handling very large numbers. The mathematical experience from the worksheet helps in dealing with numbers in higher powers or lower negative powers with ease, ensuring precise and accurate solutions every time.
8ns2

×
Description:
"This worksheet is designed to help children master finding square and cube roots through equations. Consisting of 16 math problems, it guides students with examples and allows a hands-on experience. The problems include division and addition equations, focused on square and cube roots. Its customizable format allows a tailored learning experience. Furthermore, the content can easily be converted into flashcards for better retention or used in distance learning settings. It's an invaluable tool to solidify foundational math knowledge in a fun, engaging way."

×
Student Goals:
Enhance Mathematical KnowledgeUpon completion of this worksheet, students are expected to improve their theoretical understanding of mathematics, particularly concepts of square and cube roots. They will be able to understand the processes involved in finding square and cube roots, and how equations can be used in problem-solving. This will provide a strong foundation for tackling complex mathematical problems in the future.Strengthen Problem-Solving AbilitiesWorkouts on this worksheet are designed to enhance students' problem-solving capabilities. Solving a variety of problems not only fosters a deep understanding of the subject but also promotes analytical thinking and logic application. They will gain the ability to use mathematical concepts to solve real-world problems, which significantly aids in sharpening their practical application skills.Boost Computational SkillsCompleting this worksheet will improve students' computation skills. They will become efficient in performing addition, subtraction, multiplication, and division, important for everyday tasks. Regular practice of these operations will strengthen their numerical abilities and speed of execution, which is critical for solving calculations quickly and accurately.Increase Mastery of Mathematical OperationsGoing through this worksheet will enhance students' command over basic mathematical operations. They'll understand computation methods, the order of operations, and the rules guiding each operation. This knowledge will be beneficial for understanding higher-level mathematics and other science subjects.Promote Self-Study SkillsThis worksheet is also valuable in promoting self-study habits among students. Independently tackling problems and finding solutions can incrementally improve their self-learning and self-correction skills. This fosters an independent learning culture and encourages curiosity, both essential components of the learning process.Bolster ConfidenceFinally, successfully completing the worksheet will bolster students' confidence in their mathematical abilities. Overcoming challenging problems will instill a sense of accomplishment and increase their confidence, inspiring them to explore more complex conceptual challenges. The overall improvement in their mathematical skills will reflect in their academic performance.
8ns2

×
Description:
"This worksheet is designed to help children improve their math skills by rewriting factors as squares. It comprises 20 problems, varying in complexity and primarily focusing on multiplication. It is easily customizable for teachers or tutors to suit individual student's learning pace and requirements. Also, it can effortlessly convert into flash cards for more interactive learning or can be effectively used for distance learning. Engage your students and enhance their problem-solving abilities with this innovative teaching tool."

×
Student Goals:
Understanding of Factors and Squares in MathematicsUpon completion of this worksheet, students should have gained a solid comprehension of factors and the special case of square numbers in the subject of mathematics. This formulates an essential foundation for the apprehension of more complex mathematical concepts, promoting familiarity with algebraic expressions and their simplification using the knowledge of factors.Problem Solving SkillsAs this worksheet involves numerous problems to solve, students are likely to enhance their problem-solving skills. The capability to address and surmount challenges is a highly transferable skill; even outside of mathematical contexts, this ability will prove itself as extremely valuable. Learning how to approach problems, evaluate them, and develop effective problem-solving strategies can foster cognitive development in young learners.Numeric Manipulation ProficiencyWith consistent practice and exposure on this worksheet, students should be able to achieve proficiency in numeric manipulation. This pertains to the capacity effectively to handle and manipulate numbers to reach desired outcomes. Strengthening this proficiency is a must for students aiming to excel in quantitative subjects, where numerical data manipulation is a common fixture.Improving Mathematical VocabularyThis worksheet serves as a tool for expanding mathematical vocabulary, especially in areas of factors and squares. After concluding the sheet, students should be familiar with terms such as square numbers and factors, enhancing their ability to comprehend more complex mathematical problems presented in future within these terms.Boost in ConfidenceBy devising strategies and solving problems in this sheet, students are expected to witness a boost in their confidence. This goes beyond just the confidence in solving math problems. Facing math problems, strategizing, and eventually solving them successfully invariably promotes a student's self-esteem and self-assuredness, a vital trait necessary for future academic endeavors.
8ns2

×
Description:
"This worksheet is designed to aid children in mastering the concept of simplifying radicals. Through 20 carefully crafted problems using visually appealing SVGs, students practice simplifying examples like 'root 48', 'root 20', and 'root 54'. Thanks to its versatile format, this tool can be customized to suit individual needs, transformed into flash cards for quick revision, or incorporated into distance learning modules to enrich math education beyond classroom walls."

×
Student Goals:
Knowledge EnhancementThrough the completion of this worksheet, students should be able to enhance their knowledge in math, particularly in the topic of simplifying radicals. The process of simplification is a fundamental concept in algebra and can greatly aid in numeration and ordinality.Problem Solving SkillsAs students go through the worksheet, their problem-solving skills will be bolstered as they tackle each task. They will also devise strategies to approach and solve complex mathematical problems, aiding their mental flexibility and adaptability.Mathematical FluencyThe practice exercises contained in the worksheet should help students increase their mathematical fluency. This refers to the ability to recall and apply mathematical facts rapidly and accurately - an essential skill required for future complex computations and equations.Analytical SkillsCompleting the worksheet should bolster students' analytical abilities. They will have the opportunity to interpret mathematical problems, select the best methods for solution, and rationalize the steps involved in the process of simplification. This ultimately helps them in understanding the structure of mathematics.Mathematical ConfidenceBy successfully completing the worksheet, students will gain self-confidence in their mathematical abilities. Each solved problem reinforces their understanding and skill, making them less likely to be intimidated by the subject of math. This confidence will carry over to other areas of study, benefiting their overall academic performance.Preparation for Advanced TopicsThis worksheet serves as a stepping stone towards more advanced mathematical topics. The skill of simplifying radicals is a foundation to many branches of mathematics like geometry, trigonometry, calculus etc. Therefore, mastering it will help students to be well-prepared for these advanced topics in their future studies.
8ee3

×
Description:
"This worksheet is designed to aid children in understanding and expressing numbers using powers of 10. Featuring 20 engaging math problems, it enhances numerical proficiency by presenting real-world examples like 300, 60,000, and 1,000. This adaptable resource can be customized, converted into flashcards, and seamlessly incorporated into distance learning environments for an enriched educational experience."

×
Student Goals:
Understanding of Powers of 10After completing this worksheet, students should be able to demonstrate a strong grasp of expressing numbers using powers of 10. This foundational numeric competency empowers children to handle and manipulate large and small numbers effortlessly. With such a skill, students will become more comfortable dealing with scientific notation, significant figures, and exponential calculations.Improved Problem-Solving SkillsThe worksheet enhances students' problem-solving abilities by encouraging them to think critically and logically when expressing numbers as powers of 10. This skill is not only significant for their mathematical proficiency but also for enhancing the cognitive abilities necessary for other STEM subjects. The improvement of analytical thinking through the fundamental lessons of this worksheet will serve as a cornerstone for advanced mathematical problem-solving techniques.Confidence in Working with NumbersStudents will gain the confidence and competence required to fluently work with large numbers and perform complex calculations. This will enhance their self-assuredness and ease when working with mathematical problems in the future. When students are no longer intimidated by large numbers, they are more likely to excel in subjects requiring quantitative reasoning, such as physics, chemistry, and advanced mathematics.Preparation for Advanced TopicsThis worksheet sets students on a course for success in more advanced mathematical topics. Gaining expertise in expressing numbers as powers of 10 serves as a launch pad for learning more intricate algebraic expressions, calculus, and even computer science. In turn, these capabilities give students a competitive edge in the long run.Practical Application of MathematicsFinally, students will develop a better appreciation for the real-life applications of mathematics. By understanding the principle of expressing numbers using powers of 10, children will be able to relate this concept to real life scenarios such as measuring distances in science or handling large financial data in economics. This real-world relevance promotes long-lasting learning and encourages student engagement in math and science education.
8ee3

×
Description:
"This worksheet is designed to help children grasp the concept of powers of ten and their relative values. Featuring nine varied math problems, it enhances their skill in evaluating and comparing large numbers. The customizable worksheet can be adapted for flash cards, providing additional convenience for revision. Moreover, it's perfectly suited for distance learning, seamlessly accommodating modern educational settings. A great tool to strengthen foundational math skills while keeping learners engaged."

×
Student Goals:
Understanding Powers of TenAfter completing this worksheet, students should possess a thorough understanding of the mathematical concept of powers of ten. They will be able to distinguish between larger and smaller numbers using powers of ten, determine the relative value of numbers, and confidently read, write, and comprehend mathematical expressions involving powers of ten. This proficiency is foundational to many areas of mathematics and will help them in advanced topics such as scientific notation, exponents, and logarithms.Solving Mathematical problemsStudents will gain the ability to correctly solve mathematical problems involving powers of ten. They will be equipped with strategies to calculate large numbers without a calculator, and effectively use factors of ten to simplify computations. This ability will not only enhance their mathematical skills but also aid in developing cognitive abilities like problem-solving, critical thinking, and analytical reasoning.Applying Mathematical ConceptsAn improved understanding of powers of ten will also enable students to connect this mathematical concept to real-world applications. They'll be able to apply their learning in practical situations, such as in scientific measurements and calculations involving large or small numbers. This will facilitate them to appreciate the relevance and utility of math in everyday life.Confidence in MathematicsSuccessfully tackling the worksheet will likely increase students' confidence in their mathematical abilities. By comprehending and solving problems involving powers of ten, they'll gain the confidence to tackle other complex math concepts and problems. This sense of achievement can have a positive impact on their overall attitude towards learning and academics.Preparation for Advance StudiesA keen understanding of the principle of powers of ten is necessary for more advanced studies in mathematics, especially subjects dealing with large and small figures. By mastering these topics early on, students will be better equipped for their future educational journey, particularly in STEM disciplines (Science, Technology, Engineering, Mathematics).
8ee4

×
Description:
"This worksheet is designed to enhance a child's understanding of multiplying with scientific notation, a crucial concept in math. It offers ten challenging problems, instances of which involve the multiplication of large numbers presented in scientific notation format. With the ability to adapt to various learning methods, this resource can be customized into flashcards or incorporated into a distance learning curriculum to make complex math absorption simpler and more engaging. Perfect for mastering the art of mathematical computation!"

×
Student Goals:
Master Scientific Notation OperationsBy completing this worksheet, students should have a solid grasp on performing multiplication operations using scientific notation. They will build an understanding of its principles, conventions, and real-life applications, enabling them to handle large or small numerical values effectively within various mathematical contexts.Develop Problem Solving skillsWorking through each problem exercises critical thinking and problem-solving skills. By breaking down complex calculations into manageable parts, students will be developing strategies that enable them to tackle complicated math problems. They will become proficient in mathematical reasoning and logic, skills that are fundamental in numerous fields of study and everyday life scenarios.Enhance Number SenseThrough this worksheet, students will enhance their sense of numbers. They will gain an understanding of the meaning and size of exponents and their effects on the base numbers. This increased understanding of numbers and the relationships between them will aid students in more advanced mathematical topics and real-world applications.Improve Mathematical FluencyThis worksheet will serve as a platform to improve mathematical fluency. Students will not only practice their computational skills but will also improve the speed and accuracy with which these calculations can be completed. This improvement will influence their confidence and efficiency in handling larger, more complex sums in higher levels of study and standardized tests.Reinforce Fundamental ConceptsMultiplying scientific notations involves key mathematical principles such as multiplication, rounding, estimations, and number properties. By working on this worksheet, students will revisit and reinforce these concepts, helping them to form a solid mathematical foundation that will support advancement to more high-level mathematical topics.Prepare for Advanced TopicsScientific notation is a key concept in many advanced mathematical and scientific fields such as chemistry, physics, and engineering. Completing this worksheet gives students the tools they need to engage these topics in the future confidently. They will be well-prepared to handle complex calculations and processes that frequently involve numbers in scientific notation.