Home
Favorites
My Account
Menu
Common Core Sheets
Math
Spelling
Create-A-Review
Create-A-Test
Create-A-Sheet
improving a paragraph
login
x
Reading
>
comprehension - insects
New
comprehension - arachnids
New
comprehension-reptiles
New
comprehension - mammals
New
comprehension - birds
New
Teacher Panel
>
My Account
Distance Learning Assignments
My Classes
Grade Book
New
Grade Scale
My Saved Sheets
Site Options
Spelling
>
Spelling Worksheets Maker
Premade Spelling Worksheets
Math
>
Daily Reviews Creator
Create-A-Test
Create-A-Flash Card
Sort By Grade
Addition
Subtraction
Multiplication
Division
Algebra
Angles
Area & Perimeter
Balancing Equations
Bar Graphs
Box Plots
Capacity
Cheat Sheets
Converting Forms
Counting
Decimals
Division
Drills
Fact Families
Factors
Fractions
Grids
Lines
Line Graphs
Line Plots
Mean, Median, Mode & Range
Measurement
Money
Multiplication
Multistep Problems
Negative Numbers
Order of Operations
Patterns & Function Machines
Percent
Pictographs
Pie Graphs
Probability
Properties
Ratios
Rounding
Shapes
Statistics
Subtraction
Tally
Tape Diagrams
Temperature
Time
Trigonometry
Value & Place Value
Variables
Weight
Venn Diagrams
Volume
Drills
Search Premade Sheets
social studies
>
Geography
Primary & Secondary Sources
Timelines
Create-A-Sheet
science
>
Tools
Volume
Create-A-Sheet
Language Arts
>
Improving a Paragraph
Create-A-Sheet
Teacher Panel
>
My Account
Distance Learning Assignments
My Classes
Grade Book
Grade Scale
My Saved Sheets
Site Options
Languages
>
spanish
german
russian
italian
vietnamese
french
english
Help Support the Site
>
Patreon
Paypal
Other Stuff
>
Fun Sheets
Coloring Sheets
How to Use Worksheets
Contact & Comment
Advertisement
Matching Graphs Worksheet Download
Select a Different Activity
>
One Atta Time
Flash Cards
Distance Learning
Sheet Information
>
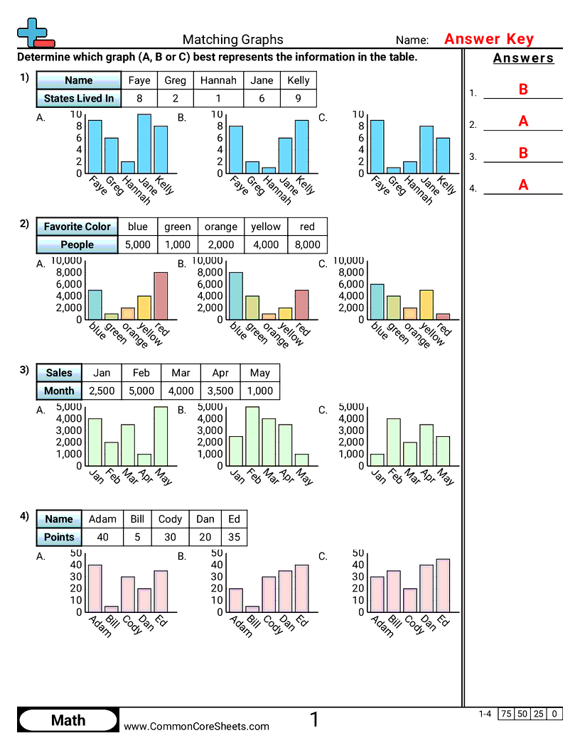
Selecting Appropriate Graph
Each worksheet has 4 problems reading a chart and matching it to a graph.
Open PDF
Customize
preview
open in new window
Select Worksheet
Premade 1
Premade 2
Premade 3
Premade 4
Premade 5
Premade 6
Premade 7
Premade 8
Premade 9
Premade 10
All The Premade
Create New Sheet
pages
Worksheet
Answer Key
language
english
french
german
italian
russian
spanish
vietnamese
Sheet Layout
>
title
Instructions
Number of Problems
Default
1
2
3
4
Due Date
Mon, Oct 27
Tue, Oct 28
Wed, Oct 29
Thu, Oct 30
Fri, Oct 31
Mon, Nov 03
Tue, Nov 04
Wed, Nov 05
Thu, Nov 06
Fri, Nov 07
Include standard on Sheet
Font
Times New Roman (123abc)
Comfortaa (123abc)
Arial (123abc)
Open Dyslexic (123abc)
Rounded Elegance (123abc)
Courier (123abc)
Caviar Dreams (123abc)
BPmono (123abc)
garuda (123abc)
playfair display (123abc)
cursive (123abc)
Font Size
Default
10
11
12
13
14
15
16
17
18
19
20
21
22
23
24
25
26
27
28
29
30
31
32
33
34
35
36
37
38
39
40
pt
Minimum Space Below Problems
Default
5
6
7
8
9
10
11
12
13
14
15
16
17
18
19
20
21
22
23
24
25
26
27
28
29
30
31
32
33
34
35
36
37
38
39
40
41
42
43
44
45
46
47
48
49
50
mm
Answer Column
hide
show
Problem Number
hide
show
sheet orientation
landscape
portrait
Update Worksheet
Advertisement